Laboratoriniai darbai

Rokiškio sūrio (RSU1L) akcijų kainos grafikų sudarymas ir analizė

9.6   (3 atsiliepimai)
Rokiškio sūrio (RSU1L) akcijų kainos grafikų sudarymas ir analizė 1 puslapis
Rokiškio sūrio (RSU1L) akcijų kainos grafikų sudarymas ir analizė 2 puslapis
Rokiškio sūrio (RSU1L) akcijų kainos grafikų sudarymas ir analizė 3 puslapis
Rokiškio sūrio (RSU1L) akcijų kainos grafikų sudarymas ir analizė 4 puslapis
Rokiškio sūrio (RSU1L) akcijų kainos grafikų sudarymas ir analizė 5 puslapis
Rokiškio sūrio (RSU1L) akcijų kainos grafikų sudarymas ir analizė 6 puslapis
Rokiškio sūrio (RSU1L) akcijų kainos grafikų sudarymas ir analizė 7 puslapis
Rokiškio sūrio (RSU1L) akcijų kainos grafikų sudarymas ir analizė 8 puslapis
Rokiškio sūrio (RSU1L) akcijų kainos grafikų sudarymas ir analizė 9 puslapis
Rokiškio sūrio (RSU1L) akcijų kainos grafikų sudarymas ir analizė 10 puslapis
Rokiškio sūrio (RSU1L) akcijų kainos grafikų sudarymas ir analizė 11 puslapis
Rokiškio sūrio (RSU1L) akcijų kainos grafikų sudarymas ir analizė 12 puslapis
Rokiškio sūrio (RSU1L) akcijų kainos grafikų sudarymas ir analizė 13 puslapis
www.nemoku.lt
www.nemoku.lt
Aukščiau pateiktos peržiūros nuotraukos yra sumažintos kokybės. Norėdami matyti visą darbą, spustelkite peržiūrėti darbą.
Ištrauka

Šio darbo tikslas – sudaryti duotos akcijos kainų grafikus bei pateikti jų įvertinimus. Akcijos yra nuosavybės vertybiniai popieriai pažymintys jų savininkų dalį bendrovės įstatiniame kapitale ir suteikiantys jiems turtines ir neturtines teises.
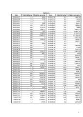
1 lentelė. Informacija apie „Rokiškio sūrio“ akcijos vidutinę kainą ir apyvartą dienos trukmei.
Piniginė apyvarta
Data
Vidutinė kaina
Piniginė apyvarta
2009.09.28
3,2
23654,8
2009.11.26
3,15
22804,28
2009.09.29
3,21
30821,4
2009.11.27
3,15
37957,5
2009.09.30
3,21
3980,4
2009.11.30
3,19
3190
2009.10.01
3,23
11714,9
2009.12.01
3,15
1733,25
2009.10.02
3,42
18305,26
2009.12.02
3,15
0
2009.10.05
3,4
46626,6
2009.12.03
3,15
0
2009.10.06
3,4
0
2009.12.04
3,13
3909,1
2009.10.07
3,4
0
2009.12.07
3,12
5539,25
2009.10.08
3,4
0
2009.12.08
3,11
62,2
2009.10.09
3,21
6425
2009.12.09
3,11
10776,15
2009.10.12
3,21
3210
2009.12.10
3,15
1716,75
2009.10.13
3,21
0
2009.12.11
3,16
537,2
2009.10.14
3,03
484,3
2009.12.14
3,14
39078,5
2009.10.15
3,03
303
2009.12.15
3,1
4965
2009.10.16
3,25
32,5
2009.12.16
3,1
0
2009.10.19
3,12
4945,95
2009.12.17
3,06
918
2009.10.20
3,16
1580
2009.12.18
3,08
6160
2009.10.21
3,15
737951,25
2009.12.21
3,04
3044
2009.10.22
3,05
610
2009.12.22
3
14720
2009.10.23
3,05
1586
2009.12.23
2,91
8833,4
2009.10.26
3,03
1152,5
2009.12.28
2,84
3012,4
2009.10.27
2,89
25985
2009.12.29
2,84
5104,99
2009.10.28
2,92
10022,76
2009.12.30
3
4200
2009.10.29
2,91
7711,5
2010.01.04
3,07
1535
2009.10.30
2,91
0
2010.01.05
2,95
2773
2009.11.02
2,91
7275
2010.01.06
3
234
2009.11.03
2,93
1583,4
2010.01.07
3
5040
2009.11.04
2,94
329368,2
2010.01.08
3,07
920
2009.11.05
2,95
2168,25
2010.01.11
2,95
4241
2009.11.06
2,95
0
2010.01.12
3,04
3346
2009.11.09
2,95
0
2010.01.13
3
600
2009.11.10
3
3328,16
2010.01.14
3,14
8397,6
2009.11.11
2,95
1180
2010.01.15
3,14
0
2009.11.12
2,95
37892,75
2010.01.18
3,19
3194
2009.11.13
3,01
20473,5
2010.01.19
3,06
918
2009.11.16
3,07
6279,15
2010.01.20
3
43307,5
2009.11.17
3,07
43888,85
2010.01.21
3
510
2009.11.18
3,07
0
2010.01.22
3
3450
2009.11.19
3,01
4834,34
2010.01.25
3
3810
2009.11.20
3,07
1702,65
2010.01.26
3
5400
2009.11.23
3,07
0
2010.01.27
3,05
450301,34
2009.11.24
3,07
0
2010.01.28
3,15
27073,12
2009.11.25
3,19
3190
2010.01.29
3,08
21540
1 lentelė. Informacija apie „Rokiškio sūrio“ akcijos vidutinę kainą ir apyvartą dienos trukmei (tęsinys).
Data
Vidutinė kaina
Piniginė apyvarta
Data
Vidutinė kaina
Piniginė apyvarta
2010.02.01
3,18
468361,55
2010.03.29
3,49
0
2010.02.02
3,32
33572,9
2010.03.30
3,5
10517,5
2010.02.03
3,25
7180,9
2010.03.31
3,51
51180,8
2010.02.04
3,3
33226,47
2010.04.01
3,51
45792,68
2010.02.05
3,24
14000
2010.04.06
3,56
12084
2010.02.08
3,18
4770
2010.04.07
3,6
18569,9
2010.02.09
3,18
0
2010.04.08
3,52
25863,37
2010.02.10
3,15
9283,05
2010.04.09
3,58
27738,5
2010.02.11
3,2
6428,65
2010.04.12
3,64
116261,52
2010.02.12
3,16
4239,45
2010.04.13
3,64
1755069,68
2010.02.15
3,16
0
2010.04.14
3,62
2310,5
2010.02.16
3,16
0
2010.04.15
3,66
38539,56
2010.02.17
3,13
4699
2010.04.16
3,66
0
2010.02.18
3,17
1266
2010.04.19
3,66
0
2010.02.19
3,25
3250
2010.04.20
3,61
363797,31
2010.02.22
3,29
20818,8
2010.04.21
3,49
21468,5
2010.02.23
3,29
0
2010.04.22
3,45
2056,2
2010.02.24
3,24
1230,2
2010.04.23
3,45
1375230,95
2010.02.25
3,21
160,5
2010.04.26
3,64
327,6
2010.02.26
3,31
2942
2010.04.27
3,64
0
2010.03.01
3,34
1369,4
2010.04.28
3,48
13052,05
2010.03.02
3,41
28144,99
2010.04.29
3,46
47064,85
2010.03.03
3,5
19532,57
2010.04.30
3,41
579,7
2010.03.04
3,48
6668
2010.05.03
3,41
0
2010.03.05
3,54
11399,68
2010.05.04
3,5
1750
2010.03.08
3,58
5370
2010.05.05
3,45
12917,05
2010.03.09
3,55
1363,2
2010.05.06
3,44
5053,36
2010.03.10
3,6
1449033,2
2010.05.07
3,4
19708,5
2010.03.11
3,6
0
2010.05.10
3,41
4191
2010.03.12
3,6
0
2010.05.11
3,41
0
2010.03.15
3,53
4761,5
2010.05.12
3,57
1785
2010.03.16
3,6
442569,6
2010.05.14
3,4
3568,5
2010.03.17
3,6
45590,4
2010.05.17
3,38
17010,8
2010.03.18
3,52
5286
2010.05.18
3,38
0
2010.03.19
3,5
7000
2010.05.19
3,4
16827,5
2010.03.22
3,64
24023
2010.05.20
3,41
8177,18
2010.03.23
3,59
31557,98
2010.05.21
3,41
16132
2010.03.24
3,5
7065
2010.05.24
3,42
174420
2010.03.25
3,45
10871,02
2010.05.25
3,42
660000
2010.03.26
3,49
4362,5
2010.05.26
3,42
0
1 lentelė. Informacija apie „Rokiškio sūrio“ akcijos vidutinę kainą ir apyvartą dienos trukmei (tęsinys).
Data
Vidutinė kaina
Piniginė apyvarta
Data
Vidutinė kaina
Piniginė apyvarta
2010.05.27
3,5
8050
2010.07.28
4,2
5667,48
2010.05.28
3,5
3150
2010.07.29
4,2
38115
2010.05.31
3,5
0
2010.07.30
4,2
40941
2010.06.01
3,4
2380
2010.08.02
4,2
3641,5
2010.06.02
3,52
9857,12
2010.08.03
4,21
46826,8
2010.06.03
3,44
4743,76
2010.08.04
4,2
58860
2010.06.04
3,48
2836,75
2010.08.05
4,21
50641,75
2010.06.07
3,45
7495
2010.08.06
4,25
244441,59
2010.06.08
3,45
2528,85
2010.08.09
4,25
221278,73
2010.06.09
3,49
19408,25
2010.08.10
4,26
1271506,92
2010.06.10
3,49
0
2010.08.11
4,28
39977,56
2010.06.11
3,44
3096,69
2010.08.12
4,25
14660,5
2010.06.14
3,44
0
2010.08.13
4,3
19475,5
2010.06.15
3,46
8342
2010.08.16
4,3
0
2010.06.16
3,46
0
2010.08.17
4,23
13423,85
2010.06.17
3,46
0
2010.08.18
4,27
51250
2010.06.18
3,46
0
2010.08.19
4,35
2095,73
2010.06.21
3,45
3363,75
2010.08.20
4,31
19450,76
2010.06.22
3,45
489,9
2010.08.23
4,3
4300
2010.06.23
3,45
0
2010.08.24
4,23
6138,25
2010.06.25
3,45
0
2010.08.25
4,3
26440,7
2010.06.28
3,4
5973,32
2010.08.26
4,33
32593
2010.06.29
3,4
0
2010.08.27
4,36
10655,37
2010.06.30
3,37
13578,3
2010.08.30
4,37
39245,77
2010.07.01
3,31
3796,57
2010.08.31
4,39
9917
2010.07.02
3,4
18292,5
2010.09.01
4,43
36367,2
2010.07.05
3,4
0
2010.09.02
4,46
73989,44
2010.07.06
3,4
0
2010.09.03
4,55
9190,3
2010.07.07
3,49
39018,64
2010.09.06
4,55
88530,45
2010.07.08
3,59
63287,58
2010.09.07
4,55
13529,7
2010.07.09
3,6
9497,66
2010.09.08
4,56
36718,8
2010.07.12
3,72
17757,42
2010.09.09
4,62
924
2010.07.13
3,79
82359,54
2010.09.10
4,57
12137,62
2010.07.14
3,82
13750
2010.09.13
4,63
45344,4
2010.07.15
3,82
0
2010.09.14
4,68
48817,69
2010.07.16
3,7
3700
2010.09.15
4,7
6222,2
2010.07.19
3,7
0
2010.09.16
4,7
0
2010.07.20
4
68000,4
2010.09.17
4,78
1910
2010.07.21
4,05
41120,15
2010.09.20
4,88
4158,65
2010.07.22
4,08
22584,8
2010.09.21
4,57
94952,5
2010.07.23
4,11
68984,4
2010.09.22
4,64
11237,02
2010.07.26
4,2
110164,2
2010.09.23
4,7
2888,2
2010.07.27
4,2
27090
2010.09.24
4,6
6073,17
Šiame laboratoriniame darbe naudojomės techninės analizės forma. Techniniai veiksniai susiję su vertybinių popierių rinkos sąlygomis, koncentruojantis į kainų pokyčius, prekybos apyvartą, pasiūlos ir paklausos veiksnius. Šios analizės pagrindinė prielaida yra ta, kad ateities kainą lemia praeities kaina.
Pirmoje lentelėje pateikti „Rokiškio sūrio“ (RSU1L) vienerių metų, t.y. 2009.09.28 – 2010.09.24 prekybos statistikos duomenys, paimti iš vertybinių popierių biržos NASDAQ OMX Vilnius tinklapio. Šioje lentelėje pateikta kiekvienos dienos akcijų vidutinė kaina bei piniginė apyvarta. Vidutinė akcijos vertė yra akcijos tikrosios vertės matas, leidžiantis investuotojui padaryti išvadas apie tai, ar konkreti akcija yra per menkai įvertinta, tinkamai įvertinta, ar pervertinta. Per analizuojamus metus akcijos vidutinė kaina svyravo nuo 0 (braižant kainų dinamikos grafiką, vietoj nulinės kainos imta prieš tai buvusios sesijos vidutinė kaina) iki 4,88 Lt. „Rokiškio sūrio“ akcijos vidutinės kainos dinamiką galima suskirstyti į 3 pagrindinius laikotarpius:
1. 2009.09.28 – 2010.01.11. Šiuo laikotarpiu žemiausia vidutinė akcijos kaina buvo pasiekusi 2,84 Lt., o aukščiausia kaina buvo analizuojamo laikotarpio pradžioje 2010.10.02. – 2010.10.08, kuomet ji buvo pasiekusi 3,42 Lt.
2. 20010.01.12 – 2010. 07.19. Šiuo laikotarpiu akcijos vidutinė kaina buvo 3 – 3,82 lito ribose. Šiuo metu akcijos kaina nežymiai tai didėjo, tai mažėjo. Ilgiausias akcijos kainos didėjimas fiksuojamas šio analizuojamo laikotarpio pabaigoje (2010.07.01 – 2010.07.19), kai vidutinė akcijos kaina kilo nuo 3,31 iki 3,7 Lt.
3. 2010.07.20 – 2010.09.24 laikotarpis, kai akcijos vidutinė kaina svyravo nuo 4...

Daugiau informacijos...

Šį darbą sudaro 2756 žodžiai, tikrai rasi tai, ko ieškai!

★ Klientai rekomenduoja


Šį rašto darbą rekomenduoja mūsų klientai. Ką tai reiškia?

Mūsų svetainėje pateikiama dešimtys tūkstančių skirtingų rašto darbų, kuriuos įkėlė daugybė moksleivių ir studentų su skirtingais gabumais. Būtent šis rašto darbas yra patikrintas specialistų ir rekomenduojamas kitų klientų, kurie po atsisiuntimo įvertino šį mokslo darbą teigiamai. Todėl galite būti tikri, kad šis pasirinkimas geriausias!

Detali informacija
Darbo tipas
Lygis
Universitetinis
Failo tipas
Word failas (.doc)
Apimtis
13 psl., (2756 ž.)
Darbo duomenys
  • Ekonomikos laboratorinis darbas
  • 13 psl., (2756 ž.)
  • Word failas 383 KB
  • Lygis: Universitetinis
www.nemoku.lt Atsisiųsti šį laboratorinį darbą
Privalumai
Pakeitimo garantija Darbo pakeitimo garantija

Atsisiuntei rašto darbą ir neradai jame reikalingos informacijos? Pakeisime jį kitu nemokamai.

Sutaupyk 25% pirkdamas daugiau Gauk 25% nuolaidą

Pirkdamas daugiau nei vieną darbą, nuo sekančių darbų gausi 25% nuolaidą.

Greitas aptarnavimas Greitas aptarnavimas

Išsirink norimus rašto darbus ir gauk juos akimirksniu po sėkmingo apmokėjimo!

Atsiliepimai
www.nemoku.lt
Dainius Studentas
Naudojuosi nuo pirmo kurso ir visad randu tai, ko reikia. O ypač smagu, kad įdėjęs darbą gaunu bet kurį nemokamai. Geras puslapis.
www.nemoku.lt
Aurimas Studentas
Puiki svetainė, refleksija pilnai pateisino visus lūkesčius.
www.nemoku.lt
Greta Moksleivė
Pirkau rašto darbą, viskas gerai.
www.nemoku.lt
Skaistė Studentė
Užmačiau šią svetainę kursiokės kompiuteryje. :D Ką galiu pasakyti, iš kitur ir nebesisiunčiu, kai čia yra viskas ko reikia.
Palaukite! Šį darbą galite atsisiųsti visiškai NEMOKAMAI! Įkelkite bet kokį savo turimą mokslo darbą ir už kiekvieną įkeltą darbą būsite apdovanoti - gausite dovanų kodus, skirtus nemokamai parsisiųsti jums reikalingus rašto darbus.
Vilkti dokumentus čia:

.doc, .docx, .pdf, .ppt, .pptx, .odt