Pristatymai

Dviejų lygčių su dviem nežinomaisiais sistemos

9.6   (3 atsiliepimai)
Dviejų lygčių su dviem nežinomaisiais sistemos 1 puslapis
Dviejų lygčių su dviem nežinomaisiais sistemos 2 puslapis
Dviejų lygčių su dviem nežinomaisiais sistemos 3 puslapis
Dviejų lygčių su dviem nežinomaisiais sistemos 4 puslapis
Dviejų lygčių su dviem nežinomaisiais sistemos 5 puslapis
Dviejų lygčių su dviem nežinomaisiais sistemos 6 puslapis
Dviejų lygčių su dviem nežinomaisiais sistemos 7 puslapis
Dviejų lygčių su dviem nežinomaisiais sistemos 8 puslapis
Dviejų lygčių su dviem nežinomaisiais sistemos 9 puslapis
Dviejų lygčių su dviem nežinomaisiais sistemos 10 puslapis
Dviejų lygčių su dviem nežinomaisiais sistemos 11 puslapis
Dviejų lygčių su dviem nežinomaisiais sistemos 12 puslapis
Dviejų lygčių su dviem nežinomaisiais sistemos 13 puslapis
Dviejų lygčių su dviem nežinomaisiais sistemos 14 puslapis
Dviejų lygčių su dviem nežinomaisiais sistemos 15 puslapis
Dviejų lygčių su dviem nežinomaisiais sistemos 16 puslapis
Dviejų lygčių su dviem nežinomaisiais sistemos 17 puslapis
Dviejų lygčių su dviem nežinomaisiais sistemos 18 puslapis
www.nemoku.lt
www.nemoku.lt
Aukščiau pateiktos peržiūros nuotraukos yra sumažintos kokybės. Norėdami matyti visą darbą, spustelkite peržiūrėti darbą.
Ištrauka

• Gilinti žinias sprendžiant dviejų lygčių su dviem nežinomaisiais sistemas.
• Grafiškai sprendžiant lygčių sistemas, dažniausiai gaunamos apytikslės sprendinių reikšmės. Todėl grafinis lygčių sistemų sprendimas dažniausiai naudojamas uždaviniuose, kuriuose reikia rasti sprendinių skaičių, nustatyti, ar lygčių sistema turi sprendinių.
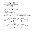
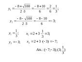
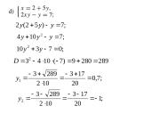
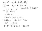
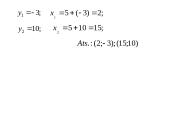
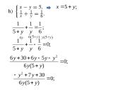
Ieškant dviejų grafikų bendrų taškų koordinačių x ir y, nebraižant pačių grafikų, reikia sudaryti ir išspręsti dviejų lygčių su dviem nežinomaisiais sistemą.
• Ieškant dviejų grafikų bendrų taškų koordinačių x ir y, nebraižant pačių grafikų, reikia sudaryti ir išspręsti dviejų lygčių su dviem nežinomaisiais sistemą.
• Lygties su...

Daugiau informacijos...

Šį darbą sudaro 232 žodžiai, tikrai rasi tai, ko ieškai!

★ Klientai rekomenduoja


Šį rašto darbą rekomenduoja mūsų klientai. Ką tai reiškia?

Mūsų svetainėje pateikiama dešimtys tūkstančių skirtingų rašto darbų, kuriuos įkėlė daugybė moksleivių ir studentų su skirtingais gabumais. Būtent šis rašto darbas yra patikrintas specialistų ir rekomenduojamas kitų klientų, kurie po atsisiuntimo įvertino šį mokslo darbą teigiamai. Todėl galite būti tikri, kad šis pasirinkimas geriausias!

Detali informacija
Darbo tipas
Lygis
Mokyklinis
Failo tipas
Skaidrės (.pptx)
Apimtis
18 psl., (232 ž.)
Darbo duomenys
  • Matematikos pristatymas
  • 18 psl., (232 ž.)
  • Skaidrės 679 KB
  • Lygis: Mokyklinis
www.nemoku.lt Atsisiųsti šį pristatymą
Privalumai
Pakeitimo garantija Darbo pakeitimo garantija

Atsisiuntei rašto darbą ir neradai jame reikalingos informacijos? Pakeisime jį kitu nemokamai.

Sutaupyk 25% pirkdamas daugiau Gauk 25% nuolaidą

Pirkdamas daugiau nei vieną darbą, nuo sekančių darbų gausi 25% nuolaidą.

Greitas aptarnavimas Greitas aptarnavimas

Išsirink norimus rašto darbus ir gauk juos akimirksniu po sėkmingo apmokėjimo!

Atsiliepimai
www.nemoku.lt
Dainius Studentas
Naudojuosi nuo pirmo kurso ir visad randu tai, ko reikia. O ypač smagu, kad įdėjęs darbą gaunu bet kurį nemokamai. Geras puslapis.
www.nemoku.lt
Aurimas Studentas
Puiki svetainė, refleksija pilnai pateisino visus lūkesčius.
www.nemoku.lt
Greta Moksleivė
Pirkau rašto darbą, viskas gerai.
www.nemoku.lt
Skaistė Studentė
Užmačiau šią svetainę kursiokės kompiuteryje. :D Ką galiu pasakyti, iš kitur ir nebesisiunčiu, kai čia yra viskas ko reikia.
Palaukite! Šį darbą galite atsisiųsti visiškai NEMOKAMAI! Įkelkite bet kokį savo turimą mokslo darbą ir už kiekvieną įkeltą darbą būsite apdovanoti - gausite dovanų kodus, skirtus nemokamai parsisiųsti jums reikalingus rašto darbus.
Vilkti dokumentus čia:

.doc, .docx, .pdf, .ppt, .pptx, .odt