Uždaviniai

Lygtys, kurios sprendžiamos įvedant naują nežinomąjį (uždaviniai)

9.8   (3 atsiliepimai)
Lygtys, kurios sprendžiamos įvedant naują nežinomąjį (uždaviniai) 1 puslapis
Lygtys, kurios sprendžiamos įvedant naują nežinomąjį (uždaviniai) 2 puslapis
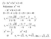
Lygtys, kurios sprendžiamos įvedant naują nežinomąjį (uždaviniai) 3 puslapis
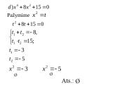
Lygtys, kurios sprendžiamos įvedant naują nežinomąjį (uždaviniai) 4 puslapis
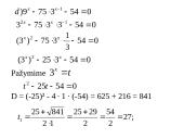
Lygtys, kurios sprendžiamos įvedant naują nežinomąjį (uždaviniai) 5 puslapis
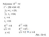
Lygtys, kurios sprendžiamos įvedant naują nežinomąjį (uždaviniai) 6 puslapis
Lygtys, kurios sprendžiamos įvedant naują nežinomąjį (uždaviniai) 7 puslapis
Lygtys, kurios sprendžiamos įvedant naują nežinomąjį (uždaviniai) 8 puslapis
www.nemoku.lt
www.nemoku.lt
Aukščiau pateiktos peržiūros nuotraukos yra sumažintos kokybės. Norėdami matyti visą darbą, spustelkite peržiūrėti darbą.

★ Klientai rekomenduoja


Šį rašto darbą rekomenduoja mūsų klientai. Ką tai reiškia?

Mūsų svetainėje pateikiama dešimtys tūkstančių skirtingų rašto darbų, kuriuos įkėlė daugybė moksleivių ir studentų su skirtingais gabumais. Būtent šis rašto darbas yra patikrintas specialistų ir rekomenduojamas kitų klientų, kurie po atsisiuntimo įvertino šį mokslo darbą teigiamai. Todėl galite būti tikri, kad šis pasirinkimas geriausias!

Detali informacija
Darbo tipas
Lygis
Mokyklinis
Failo tipas
Skaidrės (.pptx)
Apimtis
8 psl., (51 ž.)
Darbo duomenys
  • Matematikos uždavinys
  • 8 psl., (51 ž.)
  • Skaidrės 213 KB
  • Lygis: Mokyklinis
www.nemoku.lt Atsisiųsti šį uždavinį
Privalumai
Pakeitimo garantija Darbo pakeitimo garantija

Atsisiuntei rašto darbą ir neradai jame reikalingos informacijos? Pakeisime jį kitu nemokamai.

Sutaupyk 25% pirkdamas daugiau Gauk 25% nuolaidą

Pirkdamas daugiau nei vieną darbą, nuo sekančių darbų gausi 25% nuolaidą.

Greitas aptarnavimas Greitas aptarnavimas

Išsirink norimus rašto darbus ir gauk juos akimirksniu po sėkmingo apmokėjimo!

Atsiliepimai
www.nemoku.lt
Dainius Studentas
Naudojuosi nuo pirmo kurso ir visad randu tai, ko reikia. O ypač smagu, kad įdėjęs darbą gaunu bet kurį nemokamai. Geras puslapis.
www.nemoku.lt
Aurimas Studentas
Puiki svetainė, refleksija pilnai pateisino visus lūkesčius.
www.nemoku.lt
Greta Moksleivė
Pirkau rašto darbą, viskas gerai.
www.nemoku.lt
Skaistė Studentė
Užmačiau šią svetainę kursiokės kompiuteryje. :D Ką galiu pasakyti, iš kitur ir nebesisiunčiu, kai čia yra viskas ko reikia.
Palaukite! Šį darbą galite atsisiųsti visiškai NEMOKAMAI! Įkelkite bet kokį savo turimą mokslo darbą ir už kiekvieną įkeltą darbą būsite apdovanoti - gausite dovanų kodus, skirtus nemokamai parsisiųsti jums reikalingus rašto darbus.
Vilkti dokumentus čia:

.doc, .docx, .pdf, .ppt, .pptx, .odt