Pristatymai

Lygtys su kvadratinėmis šaknimis

10   (3 atsiliepimai)
Lygtys su kvadratinėmis šaknimis 1 puslapis
Lygtys su kvadratinėmis šaknimis 2 puslapis
Lygtys su kvadratinėmis šaknimis 3 puslapis
Lygtys su kvadratinėmis šaknimis 4 puslapis
Lygtys su kvadratinėmis šaknimis 5 puslapis
Lygtys su kvadratinėmis šaknimis 6 puslapis
Lygtys su kvadratinėmis šaknimis 7 puslapis
Lygtys su kvadratinėmis šaknimis 8 puslapis
Lygtys su kvadratinėmis šaknimis 9 puslapis
Lygtys su kvadratinėmis šaknimis 10 puslapis
Lygtys su kvadratinėmis šaknimis 11 puslapis
Lygtys su kvadratinėmis šaknimis 12 puslapis
Lygtys su kvadratinėmis šaknimis 13 puslapis
Lygtys su kvadratinėmis šaknimis 14 puslapis
Lygtys su kvadratinėmis šaknimis 15 puslapis
Lygtys su kvadratinėmis šaknimis 16 puslapis
Lygtys su kvadratinėmis šaknimis 17 puslapis
Lygtys su kvadratinėmis šaknimis 18 puslapis
Lygtys su kvadratinėmis šaknimis 19 puslapis
Lygtys su kvadratinėmis šaknimis 20 puslapis
www.nemoku.lt
www.nemoku.lt
Aukščiau pateiktos peržiūros nuotraukos yra sumažintos kokybės. Norėdami matyti visą darbą, spustelkite peržiūrėti darbą.
Ištrauka

• Grafiškai spręsdami lygtį baižėme funkcijų ir y = a grafikus.
• kai a < 0, tai lygtis sprendinių neturi.
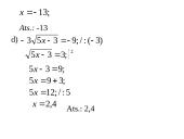
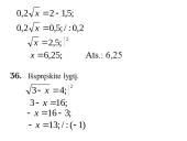
Kaip spręsti lygtis su šaknimis
• Lygtis a ≥ 0 sprendžiame naikinant šaknį, t.y. keliant abiejų lygties pusių reiškinius kvadratu. Bet pakėlus abiejų lygties pusių reiškinius kvadratu ir išsprendus gautą lygtį, galima gauti sprendinius, kurie pradinei lygčiai netinka. Pašalinius sprendinius atrinkti galima dviem būdais:
• patikrinus, ar gautieji sprendiniai tinka pradinei lygčiai;
• apskaičiavus pradinės lygties...

Daugiau informacijos...

Šį darbą sudaro 216 žodžiai, tikrai rasi tai, ko ieškai!

★ Klientai rekomenduoja


Šį rašto darbą rekomenduoja mūsų klientai. Ką tai reiškia?

Mūsų svetainėje pateikiama dešimtys tūkstančių skirtingų rašto darbų, kuriuos įkėlė daugybė moksleivių ir studentų su skirtingais gabumais. Būtent šis rašto darbas yra patikrintas specialistų ir rekomenduojamas kitų klientų, kurie po atsisiuntimo įvertino šį mokslo darbą teigiamai. Todėl galite būti tikri, kad šis pasirinkimas geriausias!

Detali informacija
Darbo tipas
Lygis
Mokyklinis
Failo tipas
Skaidrės (.pptx)
Apimtis
20 psl., (216 ž.)
Darbo duomenys
  • Matematikos pristatymas
  • 20 psl., (216 ž.)
  • Skaidrės 882 KB
  • Lygis: Mokyklinis
www.nemoku.lt Atsisiųsti šį pristatymą
Privalumai
Pakeitimo garantija Darbo pakeitimo garantija

Atsisiuntei rašto darbą ir neradai jame reikalingos informacijos? Pakeisime jį kitu nemokamai.

Sutaupyk 25% pirkdamas daugiau Gauk 25% nuolaidą

Pirkdamas daugiau nei vieną darbą, nuo sekančių darbų gausi 25% nuolaidą.

Greitas aptarnavimas Greitas aptarnavimas

Išsirink norimus rašto darbus ir gauk juos akimirksniu po sėkmingo apmokėjimo!

Atsiliepimai
www.nemoku.lt
Dainius Studentas
Naudojuosi nuo pirmo kurso ir visad randu tai, ko reikia. O ypač smagu, kad įdėjęs darbą gaunu bet kurį nemokamai. Geras puslapis.
www.nemoku.lt
Aurimas Studentas
Puiki svetainė, refleksija pilnai pateisino visus lūkesčius.
www.nemoku.lt
Greta Moksleivė
Pirkau rašto darbą, viskas gerai.
www.nemoku.lt
Skaistė Studentė
Užmačiau šią svetainę kursiokės kompiuteryje. :D Ką galiu pasakyti, iš kitur ir nebesisiunčiu, kai čia yra viskas ko reikia.
Palaukite! Šį darbą galite atsisiųsti visiškai NEMOKAMAI! Įkelkite bet kokį savo turimą mokslo darbą ir už kiekvieną įkeltą darbą būsite apdovanoti - gausite dovanų kodus, skirtus nemokamai parsisiųsti jums reikalingus rašto darbus.
Vilkti dokumentus čia:

.doc, .docx, .pdf, .ppt, .pptx, .odt