Uždaviniai

Vandenilio atomo modelio uždaviniai

9.6   (2 atsiliepimai)
Vandenilio atomo modelio uždaviniai 1 puslapis
Vandenilio atomo modelio uždaviniai 2 puslapis
Vandenilio atomo modelio uždaviniai 3 puslapis
Vandenilio atomo modelio uždaviniai 4 puslapis
Vandenilio atomo modelio uždaviniai 5 puslapis
Vandenilio atomo modelio uždaviniai 6 puslapis
Vandenilio atomo modelio uždaviniai 7 puslapis
Vandenilio atomo modelio uždaviniai 8 puslapis
Vandenilio atomo modelio uždaviniai 9 puslapis
Vandenilio atomo modelio uždaviniai 10 puslapis
Vandenilio atomo modelio uždaviniai 11 puslapis
Vandenilio atomo modelio uždaviniai 12 puslapis
Vandenilio atomo modelio uždaviniai 13 puslapis
Vandenilio atomo modelio uždaviniai 14 puslapis
Vandenilio atomo modelio uždaviniai 15 puslapis
Vandenilio atomo modelio uždaviniai 16 puslapis
www.nemoku.lt
www.nemoku.lt
Aukščiau pateiktos peržiūros nuotraukos yra sumažintos kokybės. Norėdami matyti visą darbą, spustelkite peržiūrėti darbą.
Ištrauka

Uždavinių sprendimas §10.2 Vandenilio atomo modelis

Nr. 3

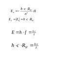
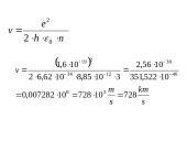
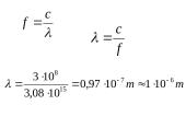
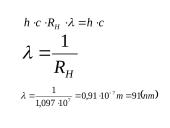
  • Apskaičiuokite vandenilio atomo skleidžiamos spinduliuotės bangos ilgį, kai elektronas peršoka iš ketvirtojo energijos lygmens į antrąjį. Kuriai spektro sričiai priklauso ši spinduliuotė? Kam lygi išspinduliuoto fotono energija?

Duota:

  • Rasti :

Apskaičiuojame išspinduliuoto fotono energiją:

Apskaičiuojame bangos ilgį:

  • Visi galimi vandenilio atomo šuoliai iš aukštesnių energijos lygmenų į antrąjį, n=2, sudaro Balmerio seriją, apimančią regimosios šviesos sritį.

Daugiau informacijos...

Šį darbą sudaro 130 žodžiai, tikrai rasi tai, ko ieškai!

★ Klientai rekomenduoja


Šį rašto darbą rekomenduoja mūsų klientai. Ką tai reiškia?

Mūsų svetainėje pateikiama dešimtys tūkstančių skirtingų rašto darbų, kuriuos įkėlė daugybė moksleivių ir studentų su skirtingais gabumais. Būtent šis rašto darbas yra patikrintas specialistų ir rekomenduojamas kitų klientų, kurie po atsisiuntimo įvertino šį mokslo darbą teigiamai. Todėl galite būti tikri, kad šis pasirinkimas geriausias!

Detali informacija
Darbo tipas
Lygis
Mokyklinis
Failo tipas
Skaidrės (.ppt)
Apimtis
16 psl., (130 ž.)
Darbo duomenys
  • Fizikos uždavinys
  • 16 psl., (130 ž.)
  • Skaidrės 288 KB
  • Lygis: Mokyklinis
www.nemoku.lt Atsisiųsti šį uždavinį
Privalumai
Pakeitimo garantija Darbo pakeitimo garantija

Atsisiuntei rašto darbą ir neradai jame reikalingos informacijos? Pakeisime jį kitu nemokamai.

Sutaupyk 25% pirkdamas daugiau Gauk 25% nuolaidą

Pirkdamas daugiau nei vieną darbą, nuo sekančių darbų gausi 25% nuolaidą.

Greitas aptarnavimas Greitas aptarnavimas

Išsirink norimus rašto darbus ir gauk juos akimirksniu po sėkmingo apmokėjimo!

Atsiliepimai
www.nemoku.lt
Dainius Studentas
Naudojuosi nuo pirmo kurso ir visad randu tai, ko reikia. O ypač smagu, kad įdėjęs darbą gaunu bet kurį nemokamai. Geras puslapis.
www.nemoku.lt
Aurimas Studentas
Puiki svetainė, refleksija pilnai pateisino visus lūkesčius.
www.nemoku.lt
Greta Moksleivė
Pirkau rašto darbą, viskas gerai.
www.nemoku.lt
Skaistė Studentė
Užmačiau šią svetainę kursiokės kompiuteryje. :D Ką galiu pasakyti, iš kitur ir nebesisiunčiu, kai čia yra viskas ko reikia.
Palaukite! Šį darbą galite atsisiųsti visiškai NEMOKAMAI! Įkelkite bet kokį savo turimą mokslo darbą ir už kiekvieną įkeltą darbą būsite apdovanoti - gausite dovanų kodus, skirtus nemokamai parsisiųsti jums reikalingus rašto darbus.
Vilkti dokumentus čia:

.doc, .docx, .pdf, .ppt, .pptx, .odt