Laboratoriniai darbai

Paketinės multiprograminės operacinės sistemos modelis

10   (1 atsiliepimai)
Paketinės multiprograminės operacinės sistemos modelis 1 puslapis
Paketinės multiprograminės operacinės sistemos modelis 2 puslapis
Paketinės multiprograminės operacinės sistemos modelis 3 puslapis
Paketinės multiprograminės operacinės sistemos modelis 4 puslapis
Paketinės multiprograminės operacinės sistemos modelis 5 puslapis
Paketinės multiprograminės operacinės sistemos modelis 6 puslapis
Paketinės multiprograminės operacinės sistemos modelis 7 puslapis
Paketinės multiprograminės operacinės sistemos modelis 8 puslapis
Paketinės multiprograminės operacinės sistemos modelis 9 puslapis
Paketinės multiprograminės operacinės sistemos modelis 10 puslapis
Paketinės multiprograminės operacinės sistemos modelis 11 puslapis
Paketinės multiprograminės operacinės sistemos modelis 12 puslapis
Paketinės multiprograminės operacinės sistemos modelis 13 puslapis
Paketinės multiprograminės operacinės sistemos modelis 14 puslapis
Paketinės multiprograminės operacinės sistemos modelis 15 puslapis
Paketinės multiprograminės operacinės sistemos modelis 16 puslapis
Paketinės multiprograminės operacinės sistemos modelis 17 puslapis
Paketinės multiprograminės operacinės sistemos modelis 18 puslapis
Paketinės multiprograminės operacinės sistemos modelis 19 puslapis
Paketinės multiprograminės operacinės sistemos modelis 20 puslapis
www.nemoku.lt
www.nemoku.lt
Aukščiau pateiktos peržiūros nuotraukos yra sumažintos kokybės. Norėdami matyti visą darbą, spustelkite peržiūrėti darbą.
Ištrauka

• pasirinktas procesų planuotojo tipas;
• procesų prioritetų skirstymo ir valdymo modelis;
• OS sisteminių procesų bei jų sąveikos schemos;
• visos multiprograminės operacinės sistemos resursai;
• operatyviosios atminties valdymas.
Užduotis:
Paketinė operacinė sistema, kuri nuskaito iš įvedimo įrenginio užduočių paketą, jį apdoroja
ir įvykdo užduotis. Turi būti numatyta galimybė vartotojo programai pagal poreikį dinamiškai
išsiskirti atminties ir vėliau ją atlaisvinti.
Duomenys apie darbo autorių:
Vardenis Pavardenis (vardenis.pavardenis@gmail.com, +37067890123), programų sistemų
x kurso y grupės studentas.
Paketinio multiprograminio operacinės sistemos modelio projektas
3
Paketinio multiprograminio operacinės sistemos modelio projektas
4
1. Realios mašinos aprašas
Reali mašina – tai kompiuteris, kuriam yra kuriama operacinė sistema. Šiame darbe
pateikta realios mašinos architektūra remiasi Šou modeliu.
1.1. Realios mašinos modelio schema
Realios mašinos techninės įrangos komponentų išsidėstymo vienas kito atžvilgiu ir
tarpusavio sąveikos schema:
Realios mašinos centrinio procesoriaus paskirtis – skaityti komandą iš atminties ir ją
interpretuoti. Procesorius turi šiuos registrus:
• PC – 2 baitų komandų skaitliukas;
• C – 1 baito loginis trigeris;
• R – 4 baitų bendro naudojimo registras;
• PTR – 4 baitų puslapių lentelės registras;
• MODE – 1 baito registras, nusakantis procesoriaus darbo režimą. Gali įgyti tokias
reikšmes: 1 – dirbama vartotojo režimu, 0 – dirbama supervizoriaus režimu;
• PI, SI – 1 baito atitinkamai programinių ir supervizorinių pertraukimų registrai;
• TI – 1 baito taimerio registras;
• IOI – 1 baito įvedimo/išvedimo pertraukimo registras. Gali įgyti tokias reikšmes: 1 –
pertraukimas pirmajame kanale, 2 – pertraukimas antrajame kanale, 4 – pertraukimas
Vartotojo atmintis
Vartotojo atmintis
Su
pe
rv
iz
or
ia
us
a
tm
in
tis
449
002
001
000
PC
R
MODE PI SI TI
CHST[1] CHST[2]
CHST[3]
Centrinis procesorius
1 kanalas 2 kanalas 3 kanalas
Išorinė
atmintis
Įvedimo
įrenginys
Išvedimo
įrenginys
PTR
C
IOI
Paketinio multiprograminio operacinės sistemos modelio projektas
5
trečiajame kanale. Jei įvyksta keli pertraukimai, reikšmės yra sudedamos. Pavyzdžiui, IOI
= 7 reiškia, kad darbą baigė visi kanalai;
• CHST[1], CHST[2], CHST[3] – 1 baito kanalų būsenos registrai. Gali įgyti tokias
reikšmes: 1 – kanalas užimtas, 0 – kanalas laisvas.
1.2. Realią mašiną sudarantys techninės įrangos komponentai ir jų aprašymas
Realią mašiną sudaro centrinis procesorius, supervizoriaus, vartotojo ir išorinė atmintys,
įvedimo ir išvedimo įrenginiai, atminties puslapiavimo mechanizmas. Atmintis bei
įvedimo/išvedimo įrenginiai valdomi kanalais. Puslapiavimo mechanizmas išlaiko sąryšius...

Daugiau informacijos...

Šį darbą sudaro 5626 žodžiai, tikrai rasi tai, ko ieškai!

Turinys
  • ANOTACIJA 2
  • TURINYS 3
  • 1. REALIOS MAŠINOS APRAŠAS .. 4
  • 1.1. REALIOS MAŠINOS MODELIO SCHEMA .. 4
  • 1.2. REALIĄ MAŠINĄ SUDARANTYS TECHNINĖS ĮRANGOS KOMPONENTAI IR JŲ APRAŠYMAS .. 5
  • 2. MULTIPROGRAMINĖS OPERACINĖS SISTEMOS PROJEKTAS .. 6
  • 2.1. DESKRIPTORIŲ APRAŠAI . 6
  • 2.1.1. Proceso deskriptorius .. 6
  • 2.1.2. Resurso deskriptorius 7
  • 2.2. OPERACINĖS SISTEMOS BRANDUOLIO PRIMITYVAI . 9
  • 2.2.1. Proceso primityvai . 9
  • 2.2.2. Resurso primityvai .. 11
  • 2.2.3. Proceso būsenų diagrama 13
  • 2.3. PROCESŲ PLANUOTOJAS .. 14
  • 2.3.1. Procesų planuotoją atitinkantis procesoriaus resurso skirstymo algoritmas 14
  • 2.4. PROCESŲ PRIORITETŲ SKIRSTYMO IR VALDYMO MODELIS .. 14
  • 2.4. OS SISTEMINIŲ PROCESŲ IR JŲ SĄVEIKOS APŽVALGA . 16
  • 2.4.1. OS procesų medis . 16
  • 2.4.2. Procesas PradžiaPabaiga 17
  • 2.4.3. Procesas Read 17
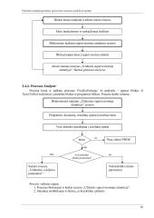
  • 2.4.4. Procesas Analyzer 18
  • 2.4.5. Procesas TasksToDisk .. 19
  • 2.4.6. Procesas MainProc . 19
  • 2.4.7. Procesas Loader .. 20
  • 2.4.8. Procesas JobGorvenor .. 20
  • 2.4.9. Procesas VirtualMachine . 22
  • 2.4.10. Procesas Interrupt 22
  • 2.4.11. Procesas Print . 22
  • 2.5. RESURSŲ APŽVALGA .. 23
  • 2.5.1. Pertraukimo resursas . 24
  • 2.6. OPERATYVIOSIOS ATMINTIES VALDYMAS 24
  • 2.6.1. Dinaminės atminties valdymas .. 24
  • 2.7. PASTABOS 25

★ Klientai rekomenduoja


Šį rašto darbą rekomenduoja mūsų klientai. Ką tai reiškia?

Mūsų svetainėje pateikiama dešimtys tūkstančių skirtingų rašto darbų, kuriuos įkėlė daugybė moksleivių ir studentų su skirtingais gabumais. Būtent šis rašto darbas yra patikrintas specialistų ir rekomenduojamas kitų klientų, kurie po atsisiuntimo įvertino šį mokslo darbą teigiamai. Todėl galite būti tikri, kad šis pasirinkimas geriausias!

Detali informacija
Darbo tipas
Lygis
Universitetinis
Failo tipas
PDF dokumentas (.pdf)
Apimtis
25 psl., (5626 ž.)
Darbo duomenys
  • Informacinių technologijų laboratorinis darbas
  • 25 psl., (5626 ž.)
  • PDF dokumentas 356 KB
  • Lygis: Universitetinis
www.nemoku.lt Atsisiųsti šį laboratorinį darbą
Privalumai
Pakeitimo garantija Darbo pakeitimo garantija

Atsisiuntei rašto darbą ir neradai jame reikalingos informacijos? Pakeisime jį kitu nemokamai.

Sutaupyk 25% pirkdamas daugiau Gauk 25% nuolaidą

Pirkdamas daugiau nei vieną darbą, nuo sekančių darbų gausi 25% nuolaidą.

Greitas aptarnavimas Greitas aptarnavimas

Išsirink norimus rašto darbus ir gauk juos akimirksniu po sėkmingo apmokėjimo!

Atsiliepimai
www.nemoku.lt
Dainius Studentas
Naudojuosi nuo pirmo kurso ir visad randu tai, ko reikia. O ypač smagu, kad įdėjęs darbą gaunu bet kurį nemokamai. Geras puslapis.
www.nemoku.lt
Aurimas Studentas
Puiki svetainė, refleksija pilnai pateisino visus lūkesčius.
www.nemoku.lt
Greta Moksleivė
Pirkau rašto darbą, viskas gerai.
www.nemoku.lt
Skaistė Studentė
Užmačiau šią svetainę kursiokės kompiuteryje. :D Ką galiu pasakyti, iš kitur ir nebesisiunčiu, kai čia yra viskas ko reikia.
Palaukite! Šį darbą galite atsisiųsti visiškai NEMOKAMAI! Įkelkite bet kokį savo turimą mokslo darbą ir už kiekvieną įkeltą darbą būsite apdovanoti - gausite dovanų kodus, skirtus nemokamai parsisiųsti jums reikalingus rašto darbus.
Vilkti dokumentus čia:

.doc, .docx, .pdf, .ppt, .pptx, .odt