Referatai

Įvadas į finansus

9.8   (2 atsiliepimai)
Įvadas į finansus 1 puslapis
Įvadas į finansus 2 puslapis
Įvadas į finansus 3 puslapis
Įvadas į finansus 4 puslapis
www.nemoku.lt
www.nemoku.lt
Aukščiau pateiktos peržiūros nuotraukos yra sumažintos kokybės. Norėdami matyti visą darbą, spustelkite peržiūrėti darbą.
Ištrauka

Finansai kilęs iš angl.ž. „fine“ – piniginė bausmė arba iš vok.ž. „fein“ – šis žodis susijęs su suktybe, sukčiauti. Vokietijoje XVI a. finansai reiškė apgaulę, lupikavimą, neteisėtą priespaudą. Geriausiai tiktų kildinti iš lot.ž. „finare“, o iš jo padarytas daiktavardis „finatio“ – baigimas, kuris įvairiais laikais turėjo skirtingas reikšmes (pvz.: teismo bauda, valdovo užkrautą mokėjimą ir tt.) Vėliau imta finansus taikyti tik valstybei kai yra vykdomi mokėjimai. Kuomet pradėjo vystytis savivalda. Tuomet atsirado daug viešojo gyvenimo prievolių (soc. apsauga, švietimas ir panašiai). Finansų vardas pradėtas taikyti amatuose, prekyboje, žemės ūkio pajamų ir išlaidų apibudinime. Šiais laikais finansai apima finansų valdymą, investavimą.
Finansų valdymas apima investavimą, projektavimą, investavimo sprendimus (t.y. kokiu būdu turėtų būti finansuojamas įmonės turtas ar veikla).
Finansai negali egzistuoti be kitų mokslų: ekonominiai, pramonės, prekybos, komerciniai, statistikos, buhalterinės apskaitos mokslai.
Prie finansų priskiriama: rizika, prognozavimas, ergonominiai, statistiniai mokslai ir panašiai. Taip pat išskiriamos istorijos (finansų ist., ūkių ist. ir panašiai).
Finansai glaudžiai susiję su administravimu ir valdymu, draudimu ir mokesčiais.
Kreditai, palūkanos, dividendai, diskontai, valiutų kursai (akcijų, obligacijų, VP kursai), lizingas, nusidėvėjimo skaičiavimo metodai – tai finansų valdymo instrumentai.
3. Finansų valdymo tikslai
Pagrindiniai finansų valdymo tikslai:
◦ Išsaugoti ir didinti turtą
◦ Siekti įmonės ekonominio potencialo augimo (didinti konkurencingumą, plėsti paslaugas)
◦ Minimizuoti išlaidas
◦ Didinti pajamas ir maksimizuoti pelną
◦ Išvengti finansinių nesėkmių bei bankroto
◦ Prisitaikyti prie besikeičiančios aplinkos ir sėkmingai konkuruoti
◦ Didinti savininkų turtą
Tikslo siekimo didinimas:
• Savininko turto maksimizavimas
• Savininko pelno maksimizavimas
Finansinio valdymo sprendimai:
• Dėl investavimo ( į ilgalaikį ir trumpalaikį)
• Dėl finansavimo šaltinių (ilgalaikį ir trumpalaikį)
• Dėl rizikos pelningumo
• Dėl finansinio rinkos poveikio (akcijoms, kainoms)
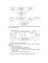
4. Pinigų cirkuliacija ir išteklių judėjimas ekonomikoje
Mainų lygtis:
M – cirkuliacijoje esantis pinigų kiekis
V – pinigų cirkuliacijos kiekis
P – kainų lygis
Y – realus gamybos apimties lygis
Išlaidos Piniginės pajamos
Ištekliai Žemė, darbas, kapitalas
Išlaidos Ištekliai
Paslaugos, prekė Paslaugos
Mokesčiai
Mokesčiai
Prekės ir paslaugos Prekės ir paslaugos
Pajamos Vartotojo išlaidos
Tai pinigų ir išteklių cirkuliacijos schema.
Šioje schemoje vyriausybė – tai visos valstybinės institucijos, kurios...

Daugiau informacijos...

Šį darbą sudaro 706 žodžiai, tikrai rasi tai, ko ieškai!

★ Klientai rekomenduoja


Šį rašto darbą rekomenduoja mūsų klientai. Ką tai reiškia?

Mūsų svetainėje pateikiama dešimtys tūkstančių skirtingų rašto darbų, kuriuos įkėlė daugybė moksleivių ir studentų su skirtingais gabumais. Būtent šis rašto darbas yra patikrintas specialistų ir rekomenduojamas kitų klientų, kurie po atsisiuntimo įvertino šį mokslo darbą teigiamai. Todėl galite būti tikri, kad šis pasirinkimas geriausias!

Detali informacija
Darbo tipas
Lygis
Universitetinis
Failo tipas
Word failas (.doc)
Apimtis
4 psl., (706 ž.)
Darbo duomenys
  • Ekonomikos referatas
  • 4 psl., (706 ž.)
  • Word failas 59 KB
  • Lygis: Universitetinis
www.nemoku.lt Atsisiųsti šį referatą
Privalumai
Pakeitimo garantija Darbo pakeitimo garantija

Atsisiuntei rašto darbą ir neradai jame reikalingos informacijos? Pakeisime jį kitu nemokamai.

Sutaupyk 25% pirkdamas daugiau Gauk 25% nuolaidą

Pirkdamas daugiau nei vieną darbą, nuo sekančių darbų gausi 25% nuolaidą.

Greitas aptarnavimas Greitas aptarnavimas

Išsirink norimus rašto darbus ir gauk juos akimirksniu po sėkmingo apmokėjimo!

Atsiliepimai
www.nemoku.lt
Dainius Studentas
Naudojuosi nuo pirmo kurso ir visad randu tai, ko reikia. O ypač smagu, kad įdėjęs darbą gaunu bet kurį nemokamai. Geras puslapis.
www.nemoku.lt
Aurimas Studentas
Puiki svetainė, refleksija pilnai pateisino visus lūkesčius.
www.nemoku.lt
Greta Moksleivė
Pirkau rašto darbą, viskas gerai.
www.nemoku.lt
Skaistė Studentė
Užmačiau šią svetainę kursiokės kompiuteryje. :D Ką galiu pasakyti, iš kitur ir nebesisiunčiu, kai čia yra viskas ko reikia.
Palaukite! Šį darbą galite atsisiųsti visiškai NEMOKAMAI! Įkelkite bet kokį savo turimą mokslo darbą ir už kiekvieną įkeltą darbą būsite apdovanoti - gausite dovanų kodus, skirtus nemokamai parsisiųsti jums reikalingus rašto darbus.
Vilkti dokumentus čia:

.doc, .docx, .pdf, .ppt, .pptx, .odt